- Цветы и растения
- Аквариум и рыбы
- Для работы
- Для сайта
- Для обучения
- Почтовые индексы Украины
- Всяко-разно
- Электронные библиотеки
- Реестры Украины
- Старинные книги о пивоварении
- Словарь старославянских слов
- Все романы Пелевина
- 50 книг для детей
- Стругацкие, сочинения в 33 томах
- Записи Леонардо да Винчи
- Биология поведения человека
Главная Инвестиции Книги Страховий та інвестиційний менеджмент - Федоренко В. Г. |
Страховий та інвестиційний менеджмент - Федоренко В. Г.
11.3. АНАЛІЗ ФІНАНСОВИХ ІНВЕСТИЦІЙ У СИСТЕМІ ПРИЙНЯТТЯ УПРАВЛІНСЬКИХ РІШЕНЬ
Фінансові інвестиції передбачають одержання прибутків від вкладення капіталу в інвестиційні цінні папери — облігації, акції, паї, внески тощо. У процесі формування портфеля фінансових інвестицій підприємству необхідно насамперед проаналізувати співвідношення таких основних характеристик, як дохідність та рівень ризику. Дохідність цінних паперів залежить від двох чинників:
• очікуваної норми дохідності;
• норм та правил оподаткування доходів від операцій з цінними паперами.
Ризик вкладення капіталу в цінні папери не однорідний за своїм змістом, тому його треба визначати як сукупність основних ризиків, на які наражається інвестор у процесі придбання та зберігання цінних паперів, а саме: ризик ліквідності цінних паперів; ризик їх дострокового відкликання; інфляційний ризик; відсотковий, кредитний та діловий ризик; ризик, пов'язаний із тривалістю періоду обігу цінного паперу.
Рішення щодо купівлі чи продажу певних фінансових інструментів необхідно приймати після ретельного аналізу та обчислення як рівня їх дохідності, так і рівня ризиковості. Ми спочатку розглянемо методику аналізу дохідності фінансових інвестицій, а вже потім — основні підходи до аналізу ризиків.
Фінансові інвестиції характеризуються такими показниками, як ринкова ціна (Р), внутрішня (теоретична або розрахункова) вартість (V), рівень дохідності (норма прибутку). Значення ринкової ціни та внутрішньої вартості часто не збігаються, оскільки кожен інвестор має власні міркування щодо внутрішньої вартості цінного паперу, покладаючись на свої суб'єктивні очікування та на результати проведеного ним аналізу.
Ринкова ціна — це задекларований показник, що об'єктивно існує на ринку. Ціна цінного паперу відображається у відповідних котируваннях і називається курсовою ціною. У будь-який момент часу на ринку існує тільки одна ціна для певного фінансового інструменту.
Внутрішня вартість фінансової інвестиції — це розрахунковий показник, а тому він залежить від тієї аналітичної моделі, на базі якої проводяться обчислення. Унаслідок цього в будь-який момент часу цінний папір може мати кілька значень внутрішньої вартості, причому теоретично їх кількість дорівнює кількості учасників ринку, які користуються різними моделями. Отже, оцінка внутрішньої вартості є до певної міри суб'єктивною.
У процесі аналізу співвідношення ринкової ціни та внутрішньої вартості визначається доцільність тих чи інших управлінських рішень щодо конкретного цінного паперу. Якщо внутрішня вартість цінного паперу, що її розраховано потенційним інвестором, є вищою за поточну ринкову ціну, то такий папір вигідно в цей момент придбати, оскільки його недооцінили на ринку. Якщо на думку конкретного учасника ринкова ціна цінного паперу перевищує його внутрішню вартість, то немає сенсу купувати такий папір, оскільки його ціну завищено. Водночас таке співвідношення ціни та вартості вказує на те, що його вигідно продати, коли він уже є в портфелі інвестора. Якщо ринкова ціна та внутрішня вартість цінного паперу збігаються, то це означає, що операції спекулятивного характеру (з метою одержання доходу від різниці між ціною продажу та купівлі) навряд чи можливі.
У сучасній економічній літературі існують різні підходи до визначення внутрішньої вартості фінансових інструментів, але на практиці найпоширенішою є фундаменталістська теорія, згідно з якою внутрішня вартість цінних паперів розраховується за формулою, запропонованою Дж. Вільямсом ще 1938 року:

де V(t) — внутрішня вартість цінних паперів у момент І; СТ,, — очікуваний потік відсоткових виплат за цінним папером в ,-й період
(і = 1, п); й — прийнятна або очікувана дохідність цінного паперу (норма прибутку).
Як випливає з формули (11.4), яку надалі називатимемо базовою моделлю, внутрішня вартість цінного паперу залежить від трьох чинників:
• з очікуваних грошових надходжень;
• тривалості періоду обігу цінного паперу (або періоду прогнозування для безстрокових інструментів);
• норми прибутку.
Наведену модель можна використати для розв'язання різних задач, що постають під час прийняття інвестиційних рішень. Спираючись на модель, інвестор може розрахувати внутрішню вартість інвестиції за різних значень вихідних параметрів (грошових потоків та норми прибутку) у процесі імітаційного моделювання. Знаючи поточну ринкову ціну та узявши її за таку, що дорівнює внутрішній вартості, можна обчислити норму прибутку цього цінного паперу та порівняти одержане значення з альтернативними варіантами інвестування коштів. Методику аналізу дохідності фінансових інвестицій розглянемо на прикладі двох найпоширеніших видів цінних паперів: облігацій та акцій.
Аналіз дохідності облігацій
Облігації належать до класу боргових цінних паперів, які є зобов'язаннями емітента, розміщеними на фондовому ринку з метою запозичення грошей на певних умовах. Облігації різняться за умовами емісії, характером і термінами обігу, способами забезпечення та виплати доходу.
Залежно від цих характеристик виділяють облігації з нульовим купоном, облігації з фіксованою або змінною купонною ставкою, безвідкличні та відкличні облігації. Відповідно до виду облігації модифікується й аналітична модель (11.4), за якою проводиться розрахунок внутрішньої вартості та норми прибутку.
Облігації з нульовим купоном. Умовами емісії виплату відсотків за такими цінними паперами не передбачено. Дохід інвестора формується як різниця між номінальною вартістю та емісійним курсом облігації, встановленим на дисконтній основі (тобто нижче за номінал). Отже, облігації з нульовим купоном належать до дисконтних цінних паперів. Така облігація генерує грошовий потік лише один раз, дохід інвестор одержує в момент погашення, тому формула (11.4) набирає вигляду

де N — номінальна сума облігації, яка виплачується за її погашення; п — тривалість періоду до погашення облігації (роки).
Приклад 4
Проаналізуємо доцільність придбання облігації з нульовим купоном номінальною сумою 1000 грн, яка продається за ціною 750 грн і яку буде погашено через 2 роки. Зважимо, що підприємство має можливість альтернативного розміщення коштів із нормою прибутку 14 %. Аналіз проведемо двома способами.
1. Розрахуємо теоретичну вартість облігації, спираючись на норму прибутку альтернативного варіанта розміщення коштів, та порівняємо її з поточною ринковою ціною.
2. Обчислимо дохідність облігації за формулою, похідною від (11.6):

Порівняємо цю формулу з нормою прибутку альтернативного проекту, що дасть можливість вибрати прибутковіший напрям інвестування коштів. За першим способом

Як показав розрахунок, теоретична вартість облігації (769,5 грн) вища за її поточну ціну (750 грн), що дає підстави розглядати її як вигідний об'єкт інвестування.
За другим способом:

Оскільки одержане значення дохідності облігації вище, ніж в альтернативному варіанті на 1,4 %, то придбання такого цінного паперу також слід визнати доцільним.
Облігації з фіксованою купонною ставкою. Облігації, умовами емісії яких передбачено виплату відсотків у розрахунку на номінальну суму інвестиції, називаються купонними. Виплати тут здійснюються за купонами — відрізними талонами з указаною на них величиною купонної ставки. Розрізняють облігації з фіксованою купонною ставкою та з плаваючою, тобто такою, яка може змінюватися упродовж періоду обігу. Купонні облігації можуть продаватися як за номінальною вартістю, так і з дисконтом або премією — залежно від кон'юнктури ринку та їх привабливості для інвесторів. Тому за облігаціями з фіксованою купонною ставкою очікуваний дохід інвестора складається з двох частин:
• рівномірних за періодами надходжень відсоткових виплат, обіцяних емітентом;
• імовірних капітальних прирощень (збитків) унаслідок зміни ринкової ціни облігації.
Базова модель у такому разі має вигляд:

де к — купонна ставка облігації. Приклад 5
Проаналізуємо доцільність придбання підприємством дворічної облігації номіналом 1000 грн зі щорічною виплатою купонної ставки 15 %. Облігацію можна придбати за ціною 950 грн; середньорин-кова норма дохідності становить 17 %.
Як і в попередньому прикладі, аналіз можна провести двома способами. Перший спосіб полягає в розрахунку теоретичної вартості на основі середньоринкової дохідності та її порівнянні з ринковою ціною. Другий спосіб — це розрахунок очікуваної норми дохідності облігації (а*), як невідомої величини рівняння (11.6), за умови, що внутрішня вартість дорівнює ринковій ціні. Порівняння одержаної норми дохідності із середньоринковою уможливить прийняття обґрунтованого рішення щодо придбання цього виду цінних паперів. Скористаємося цим способом і розрахуємо очікувану норму дохідності облігації.
Отже, формула (11.6) — це рівняння з одним невідомим а — дохідністю облігації. Для визначення невідомої величини знову вдамося до способу послідовних ітерацій, описаного. Нехай дохідність цінного паперу до моменту погашення дорівнює а, = 18 %, тоді:

Ця сума (953 грн) вища за поточну ціну облігації, тому реальна норма дохідності має бути вищою за 18 %. Виконаємо обчислення за умови, що й2 = 20 %:

Сума 923,2 грн нижча за поточну ціну облігації 950 грн, тому значення невідомої величини d міститься в межах від 18 до 20 % і становить 18,2%:

Отже, дворічна облігація з купоном 15 %, придбана з дисконтом 50 грн, має очікуваний рівень дохідності до моменту погашення 18,2%. Оскільки отримане значення перевищує середньо-ринкову норму дохідності (17 %), то придбання такої облігації можна визнати доцільним.
Облігації з плаваючою купонною ставкою. Якщо умовами емісії облігації рівень купонної ставки не зафіксовано і вона змінюється залежно від рівня інфляції чи ставки відсотка за кредитами, то такі цінні папери називаються облігаціями з плаваючою купонною ставкою. Внутрішня вартість таких облігацій обчислюється за формулою:

де СБі — грошові потоки, що їх генерує облігація в і-му періоді.
Процедура аналізу облігацій з плаваючою купонною ставкою не відрізняється від описаних вище, за винятком того, що грошовий потік у кожному із періодів може змінюватися.
Відкличні облігації. Облігації, умови випуску яких передбачають право емітента погасити їх до закінчення періоду обігу, називаються відкличними. У процесі аналізу дохідності відкличних облігацій до уваги береться не номінал облігації, а її викупна ціна (ціна дострокового відкликання), тобто ціна, за якою емітент викупає облігацію до настання строку погашення. Як правило, за дострокового відкликання викупна ціна облігацій не збігається з їх номіналом. Іноді щодо відкличних облігацій встановлюється ще й термін захисту від дострокового погашення, тривалість якого теж впливає на рівень дохідності такої облігації.
Така сама ситуація виникає також і за умови продажу цінного паперу до настання строку погашення. Підприємство може вдатися до дострокового продажу цінних паперів з різних причин, наприклад у разі активного підходу до управління портфелем цінних паперів. Іноді цінні папери продають достроково для підтримування ліквідності, а іноді через необхідність реструктуризації активів.
За умови дострокового відкликання (або продажу) дохідність цінного паперу за період зберігання обчислюється за формулою

де п — кількість періодів, упродовж яких облігація була в обігу; Р — викупна ціна або поточна ринкова ціна, за якою облігацію можна продати; й — дохідність цінного паперу до моменту відкликання або за період зберігання (невідома величина). Отже, формула (11.8) є рівнянням з одним невідомим й, адже всі інші величини, у тому числі й викупна ціна Р, є відомими. Аналіз дохідності таких облігацій проводять так само, як і в попередніх прикладах.
Крім зазначених, на ринку можуть обертатися безстрокові облігації, які передбачають невизначено тривалий час виплати доходів за фіксованою чи плаваючою ставкою. У такому разі методи обчислення внутрішньої вартості облігації не відрізняються від аналогічних розрахунків щодо акцій.Аналіз дохідності акцій
Акція — це цінний папір, що засвідчує право власника на участь у власному капіталі підприємства. Акції належать до класу пайових цінних паперів, випускаються недержавними організаціями і не мають обмеженого терміну обігу. Номінальна вартість акції може бути різною, але здебільшого емітенти віддають перевагу випуску акцій невеликого номіналу, що дає змогу розширити ринок та підвищити ліквідність таких акцій. Як правило, номінал акції не відображає її реальної вартості, тому для аналізу дохідності акцій використовують курсову, тобто поточну ринкову ціну.
Курсова ціна акцій залежить від різноманітних чинників: величини та динаміки дивідендів, загальної кон'юнктури ринку, ринкової норми прибутку. На курс акцій можуть суттєво вплинути управлінські рішення щодо реструктуризації компанії-емітента. Так, приміром, рішення про злиття компаній здебільшого значно підвищують курсову ціну їх акцій. Хоч курсову ціну акцій можна визначити різними способами, але всі вони базуються на одному засадному принципі, який полягає в порівнюванні генерованих цим цінним папером доходів з ринковою нормою прибутку. Показником дохідності може бути або рівень дивідендів, або величина чистого прибутку в розрахунку на одну акцію. Другий показник використовують тоді, коли дивіденди з певних причин не виплачують, а одержаний прибуток повністю реінвестують, скажімо, у процесі становлення, розширення чи реорганізації акціонерного підприємства.
Прийняття управлінських рішень щодо доцільності придбання акції базується на результатах порівняльного аналізу її поточної ринкової ціни з теоретичною (внутрішньою) вартістю. Внутрішню вартість акції можна розрахувати різними методами, але найпоширенішою залишається вже відома нам модель оцінки майбутніх надходжень (11.4) яка трансформується залежно від прогнозованої динаміки виплати дивідендів на акції.
Акції з постійними (сталими) дивідендами. Якщо сума дивідендів, які виплачують власнику акції, є сталою величиною, то базова модель (11.4) перетворюється на формулу суми складових геометричної прогресії, що постійно спадає:

де Е — грошовий потік у вигляді дивідендів; й — середньорічна (або інша прийнятна) норма дохідності. Аналогічно розраховується вартість безстрокових облігацій.
Приклад 6
Проаналізуємо доцільність придбання підприємством акцій відкритого акціонерного товариства за ринковою ціною 200 грн та щорічною виплатою дивідендів 35 грн, якщо середньоринкова норма прибутку становить 25 %. Розрахуємо теоретичну вартість акції:

Отже, внутрішня вартість цих акцій (140 грн) є значно нижчою проти їх ринкової ціни (200 грн), і підприємству не рекомендується купувати ці акції, оскільки їх ціну завищено.
Акції з дивідендами, що рівномірно зростають. Якщо дивіденди, що виплачують власникам акцій, постійно та рівномірно зростають, то на внутрішню вартість таких цінних паперів впливатимуть базова
величина дивідендів (Е) та темпи їх приросту (А). Базова модель (11.4) в цьому випадку матиме вигляд:

Після певних математичних перетворень одержують формулу, відому як модель М. Гордона, яка є справедливою за умови, коли се-редньоринкова норма прибутку вища за темпи приросту дивідендів, тобто за а > А:

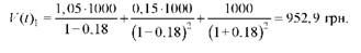
Повертаючись до прикладу 6, проаналізуємо привабливість акцій, якщо щорічний темп приросту дивідендів становитиме 10 %.

Отже, в такому разі придбання акцій за ринковою ціною 200 грн треба визнати вигідним вкладенням коштів, оскільки внутрішня вартість таких цінних паперів (256,7 грн) є значно вищою за поточний курс.
Акції зі змінним темпом приросту дивідендів. Якщо ні величина дивідендів, ні темпи їх приросту не залишаються постійними упродовж періоду, котрий аналізується, то застосовуються комбіновані прийоми, і процедура розрахунків ускладнюється. Суть підходу полягає у тому, що загальний період поділяють на кілька часових інтервалів, у межах яких або дивіденди можна вважати сталими, і тоді розраховують внутрішню вартість за формулою (11.9), або постійними є темпи їх приросту, що дає змогу використати для аналізу формулу (11.10). Внутрішню вартість акції визначають як суму вартостей, розрахованих для кожного періоду.
Норми оподаткування доходів від операцій з цінними паперами значною мірою визначають привабливість цього фінансового інструменту для інвесторів, оскільки для них більше важить величина доходів на цінні папери після виплати податків, ніж до цього.
Здебільшого доходи на цінні папери оподатковуються за загальними правилами та ставками. Але подекуди для заохочування вкладень у певні види цінних паперів (приміром, у муніципальні облігації) доходи від операцій з такими інструментами не оподатковуються або норми оподаткування встановлюють на рівні нижчому, ніж загальний. В Україні в період випуску в обіг облігацій внутрішньої державної позики (ОВДП) доходи на ці облігації, одержані на первинному ринку, не оподатковувалися. Доходи від перепродажу ОВДП, тобто одержані на вторинному ринку, підлягали оподаткуванню за загальними ставками. Це стимулювало інвесторів до вкладення значних коштів у ОВДП, але водночас стримувало розвиток вторинного ринку. Нині згідно з чинним законодавством України витрати підприємства на купівлю цінних паперів розглядають як елемент валових витрат, а всі доходи, одержані у вигляді дивідендів від акцій, паїв, часток, погашення номінальної вартості цінного паперу та інших вкладень, включають до складу валових доходів і оподатковують за загальною ставкою податку на прибуток.
У процесі прийняття управлінських рішень щодо фінансових інвестицій можна використати такий показник, як період окупності цінного паперу, відомий в економічній літературі як аналіз дюрації. Порівняльний аналіз дюрації кількох цінних паперів та (або) періоду окупності капітальних вкладень уможливить вибір найприйнят-нішого варіанта інвестування коштів.
Середньозважений строк погашення (дюрація) — це міра наведеної вартості окремого цінного паперу або портфеля цінних паперів, за допомогою якої вимірюється середня тривалість періоду, упродовж якого всі потоки доходів, генерованих цінним папером, надходять до інвестора. Дюрація показує період окупності цінного паперу, тобто час повернення коштів, витрачених на його придбання. За економічним змістом поняття дюрації цінного паперу аналогічне поняттю періоду окупності реальних інвестицій.
Дюрація визначається як відношення приведеної вартості суми всіх очікуваних потоків доходів, генерованих цінним папером (зважених за часом надходження), до ринкової ціни цінного паперу. Дю-рація Б обчислюється за формулою (роки)

де С?і — очікувані потоки відсоткових доходів в і-й період (і = 1,...
п); і — періоди проведення виплат; п — загальна кількість періодів; й — ставка дисконтування; N — номінальна сума боргу (або ціна продажу); Р — дисконтована ціна цінного паперу.
Для обчислення дюрації цінного паперу необхідно послідовно розрахувати грошовий потік, коефіцієнт дисконтування, чисту теперішню (приведену) вартість та її зважене значення. На завершальному етапі діленням зваженої теперішньої вартості на ринкову вартість цінного паперу визначають величину дюрації.
Якщо цінний папір генерує потік грошових коштів лише один раз — у момент його погашення, то його дюрація дорівнює періоду обігу. Приміром, трирічний депозитний сертифікат з умовою виплати основної суми і відсотків після закінчення періоду обігу та проданий за номінальною вартістю, має дюрацію 3 роки. Але для всіх цінних паперів, за якими виплати проводяться кілька разів до досягнення строку погашення, дюрація буде коротшою за тривалість періоду обігу.
Приклад 7
Облігація номінальною вартістю 1000 грн погашається через 4 роки і має купон 25 %. Якою буде дюрація цього цінного паперу за умови виплати відсоткового доходу один раз на рік упродовж усього періоду обігу, якщо його дисконтована ціна становить 900 грн? Якому напряму інвестування коштів має віддати перевагу підприємство, якщо термін окупності альтернативного варіанту інвестування становить 3,5 роки?
Середньозважений строк погашення обчислимо за допомогою табл. 11.4.
Таблиця 11.4
Аналіз дюрації цінного паперу
* Коефіцієнт дисконтування кй знайдено за таблицями приведеної вартості.
Отже, у термінах приведеної вартості період окупності облігації становитиме 3,28 року, що і є середньозваженим строком погашення — дюрацією, а тому підприємству доцільно вибрати саме цей напрям вкладення коштів.
Прогнозний аналіз цінових змін цінного паперу базується на існуванні залежності між змінами ринкових відсоткових ставок і ціною цінного паперу (у відсотках):

де АР — зміна ціни цінного паперу (у відсотках); г* — прогнозована відсоткова ставка на ринку; г — діюча відсоткова ставка.
Вплив відсоткових ставок на зміну вартості цінного паперу у грошовому вираженні обчислюється за формулою:

де АР — зміна ціни цінного паперу (у грошовому вираженні); Р — ринкова ціна цінного паперу.
Для оцінки зміни вартості цінного паперу дюрацію зі знаком "мінус" необхідно помножити на його поточну ціну та зміну відсоткових ставок на ринку з урахуванням дисконту. Цінні папери з високим купонним доходом мають коротшу дюрацію порівняно з цінними паперами, які характеризуються низьким відсотковим доходом на купон і таким самим рівнем ринкової дохідності. Тому цінні папери з високим купонним доходом мають нижчий рівень цінового ризику. І навпаки, низькокупонні папери можуть дати високий дохід за зміни відсоткових ставок на ринку, але при цьому з ними пов'язаний більший ціновий ризик. З огляду на ці закономірності перший тип цінних паперів більше підходить консервативному інвестору, а другий — прихильнику спекулятивного доходу.
Проаналізуємо зміну вартості облігації, яка нині продається за ціною 900 грн, якщо дюрація дорівнює 3,28 року, а прогноз свідчить про підвищення відсоткових ставок на ринку упродовж поточного року з 25 % до 35 %.

Отже, підвищення ринкових ставок на 10 % призведе до зниження ціни облігації на 26,24 %, або на 236,16 грн, і ринкова ціна облігації через рік становитиме 663,84 грн.
Маючи намір придбати певні цінні папери, менеджер підприємства має вирішити, чи прийнятна для нього така цінова чутливість і чи не будуть інші цінні папери точніше відповідати його поточним потребам. Також необхідно оцінити ймовірність значних змін відсоткових ставок на ринку упродовж періоду обігу цінного паперу. Аналіз цих аспектів дасть змогу прийняти обґрунтоване рішення щодо купівлі чи продажу цінних паперів.
Created/Updated: 25.05.2018
|
Инвестиции