- Цветы и растения
- Аквариум и рыбы
- Для работы
- Для сайта
- Для обучения
- Почтовые индексы Украины
- Всяко-разно
- Электронные библиотеки
- Реестры Украины
- Старинные книги о пивоварении
- Словарь старославянских слов
- Все романы Пелевина
- 50 книг для детей
- Стругацкие, сочинения в 33 томах
- Записи Леонардо да Винчи
- Биология поведения человека
Главная Инвестиции Книги Страховий та інвестиційний менеджмент - Федоренко В. Г. |
Страховий та інвестиційний менеджмент - Федоренко В. Г.
РОЗДІЛ 12. ОЦІНЮВАННЯ ЕФЕКТИВНОСТІ ІНВЕСТИЦІЙ
Оцінювання зміни вартості грошей у часі. Показники ефективності інвестицій
12.1. ОЦІНЮВАННЯ ЗМІНИ ВАРТОСТІ ГРОШЕЙ У ЧАСІ
Планування інвестицій, визначення їх доцільності, прибутковості завжди є прогнозуванням майбутніх доходів і витрат, тобто грошових потоків. Чи однакову грошову цінність мають дохід, скажімо, 10 тис. грн, який буде одержано цього року, і такий самий дохід через три роки?
Якщо маємо 10 тис. грн зараз, то через рік за умови, що зберігатимемо їх у банку під 5% річних, вони вже дорівнюватимуть 10,5 тис. грн, ще через рік — 11 тис. грн і т. д. А щоб мати через рік 10 тис. грн, сьогодні треба покласти в банк (мати в наявності) 9,5 тис. грн. Отже, у розрахунках, оцінках, порівняннях обсягів коштів, що розділені між собою часом, треба враховувати зміну їх вартості.
У загальному вигляді таке збільшення вартості грошей (Т7,) визначається за формулою

де Р — вартість грошей відповідно майбутня і теперішня; (1 + г)1 — коефіцієнт компаундування; г — банківська річна ставка; І — порядковий номер року (починаючи з наступного за поточним), якому відповідає значення Р.
Такий перехід від оцінювання вартості грошей теперішньої до їх майбутньої вартості називається компаундуванням.
Зворотний процес отримання сьогоднішнього еквівалента вартості коштів, що мають бути в майбутньому, називається дисконтуванням. Загальна формула приведення обсягу коштів майбутнього періоду (і^ ) до еквівалентного обсягу поточного року (Р) має такий вигляд:

де г — ставка дисконту;
— коефіцієнт дисконтування.
Якщо рівень г прогнозується змінним для різних років, то формула приведення обсягу грошових надходжень у році І до поточного року матиме вигляд

Приклад 1. Яким коштам сьогодні еквівалентна сума 100 тис. грн, що її одержать через три роки (річний процент — 5 %)? За формулою (12.2) дисконтування

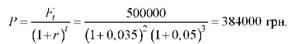
Приклад 2. Які кошти треба мати сьогодні, щоб через п'ять років повернути борг у сумі 500 тис. грн (банківський депозитний процент у перші два роки — 3,5 %, у наступні три роки — 5 %).
Треба привести вартість майбутніх коштів (?) до поточного періоду (Р):

Приклад 3. Організація міні-пекарні вартістю 40 тис. грн. має за прогнозованими розрахунками приносити упродовж п'яти років щорічний чистий прибуток у сумі 12 тис. грн. Чи доцільний цей проект?
Необхідно порівняти загальний прибуток за п'ять років і обсяг витрат 40 тис. грн. Визначимо сумарну за п'ять років вартість очікуваного прибутку (у тис. грн.), привівши кошти кожного року до умов того часу, коли ми маємо витратити 40 тис. грн інвестицій (ставку дисконту візьмемо 10 %):

разом за п'ять років — 45,45 тис. грн.
Ця сума приведена до умов поточного року й може порівнюватися з обсягом інвестицій 40 тис. грн. Чистий приведений прибуток перевищує інвестиційні витрати на 5,5 тис. грн. Проект можна вважати доцільним.
Використання механізму дисконтування майбутніх грошових надходжень практично є методом порівняння доходу від проекту й доходу від вкладання тих самих грошей у банк під щорічний процент. У наведеному прикладі організація міні-пекарні є прибутковішим варіантом, аніж вкладання грошей у банк. Але це не означає, що проект буде прийнятий інвестором. Його прибутковість слід перевірити за допомогою інших показників і порівняти з іншими проектами, які можуть бути в інвестора.
Created/Updated: 25.05.2018
|
Инвестиции