- Цветы и растения
- Аквариум и рыбы
- Для работы
- Для сайта
- Для обучения
- Почтовые индексы Украины
- Всяко-разно
- Электронные библиотеки
- Реестры Украины
- Старинные книги о пивоварении
- Словарь старославянских слов
- Все романы Пелевина
- 50 книг для детей
- Стругацкие, сочинения в 33 томах
- Записи Леонардо да Винчи
- Биология поведения человека
Главная Экономика Книги Політична економія - Оганян Г.А. |
Політична економія - Оганян Г.А.
Розвиток неокласичного мікроекономічного аналізу
1. Проблеми функціонування економіки на мікрорівні. Основні концепції лозаннської математичної школи.
2. Об'єднання мікро- і макроаналізу в неокласичних теоріях. Теорії функціональної вартості й економічної оптимальності.
До основних концепцій лозаннської математичної школи належить передусім теорія споживчого вибору, розроблювана швейцарськими економістами італійського походження В. Парето й Е. Бароне.
В. Парето (1848-1923) і Е. Бароне (1859-1924) — професори Лозаннського університету. Основні праці В. Парето — " Курс політекономії" (1896 р.), "Посібник з економічної політики" (1906 р.). У теорії споживчого вибору лозаннської школи категорія кардинальної або абсолютної корисності, що була основною в концепції австрійської школи, замінена категорією ординальної або відносної корисності. Замість поняття "гранична корисність" вживається поняття порядку переваги товарів для покупців. Порядок переваги визначається за допомогою кривих байдужності, розроблених Ф. Еджуортом (учнем і послідовником ідей А. Маршалла і В. Джевонса). В. Парето і Е. Бароне сформулювали основні правила поведінки покупця, що використовує криві байдужності. Сутність цих правил — покупець повинен оптимально розподілити свій дохід, щоб придбати раціональний набір споживчих товарів. Для досягнення своєї мети покупець повинен скласти спеціальну лінію, названу бюджетною. Було визначено два ефекти, пов'язані з бюджетною лінією: ефект заміщення та ефект прибутку, на які впливають зміна цін або прибутки покупця. Автори теорії споживчого вибору зазначили також, що ринкова ціна будь-якого товару визначається через систему рівнянь, коли сукупний попит усіх товарів дорівнює сукупній пропозиції цих товарів.
Згідно з теорією економічної оптимальності, ринок саморегулюється і приводить економіку до оптимального рівня. В цих умовах стан економічної системи, за якого неможливо збільшити ступінь задоволення потреб, не погіршивши становища жодного із суб'єктів, В. Парето назвав оптимальним. У такій системі має діяти закон, що визначає розподіл багатства в суспільстві (так званий закон Парето), відповідно до якого існує залежність між розміром прибутку і кількістю осіб, які одержують його. Вважається, що економіка виграє, якщо більша частина прибутку розподіляється на користь людей з високим рівнем інтелекту і спроможностей. Відповідно до цього закону збільшення мінімального прибутку і скорочення нерівності в розподілі прибутків можливі тільки в тому разі, коли загальна сума прибутків зростає пропорційно збільшенню кількості населення (концепція циркуляції еліт). Отже, стан Парето-оптимальності економічної системи демонструє наявність соціальної справедливості. Водночас В. Парето вважає справедливим існуючу в суспільстві нерівність у розподілі прибутків.
В. Парето і Е. Бароне є засновниками неокласичного варіанта теорії планової економіки. Вони вважали, що держава може впливати на рівень прибутків суспільства за допомогою планування. Плановий механізм "намацування" цін має поєднуватися з ринковим механізмом у такий спосіб, щоб створити найкращі умови для саморегуляції ринку. Мета планової діяльності держави — сприяти встановленню рівноважних цін, надаючи фірмам інформацію, рекомендації та прогнози. У концепції представників лозаннської школи подано повний опис особливостей раціональної поведінки покупця на ринку. Крім того, їх теорія була своєрідним поштовхом до появи теорії раціональної поведінки конкурентної фірми на галузевому ринку — теорії технологічних множин, запропонованої К. Ерроу і Ж. Дебре.
Ж. Дебре (нар. 1921) — французький економіст. К. Ерроу (нар. 1921) — американський економіст, викладав політекономію в Чиказькому університеті, професор Гарвардського університету, член Американського статистичного товариства, член економетричного товариства США, лауреат Нобелівської премії з економіки. Праці К. Ерроу — "Дослідження з лінійного і нелінійного програмування" (1958 р.), "Межі організації" (1974 р.).
Теорія технологічних множин К. Ерроу і Ж. Дебре є одним з варіантів неокласичної концепції недосконалої конкуренції. Автори стверджують, що фірма обирає технологічний засіб виробництва з багатьох альтернатив. Альтернативи оцінюються за допомогою економіко-математичних методів, використовуються виробничі функції і карта технологічних множин, що є межею вибору оптимальної технології фірми. Карта технологічних множин показує, що є безліч технологічних комбінацій ресурсів. Використовуючи бюджетну лінію, фірма повинна визначити оптимальну технологічну й економічну ефективність виробництва. Вчені вивели аксіому раціональної організації виробництва: виробнича діяльність фірми припиняється, якщо її економічна ефективність менша за технологічну. Якщо технологія стає неефективною, то додаткові витрати ресурсів можна скоротити за допомогою зменшення виробничої програми.
Вирішення проблем споживчого вибору поєднувалось з розв'язанням питань створення загальних умов функціонування галузевих мікроринків. Разом з К. Ерроу Ж. Дебре розробив модель і теорему конкурентної ринкової рівноваги, відповідно до якої кожен споживач прагне максимізувати суб'єктивну корисність, будучи обмеженим цінами і своїм бюджетом. Кожна фірма, обмежена технологічними можливостями і наявністю конкурентів, прагне максимізувати прибуток. Щоб цілі контрагентів ринку збігалися, необхідно виконати кілька вимог: бюджетні обмеження повинні однаково впливати на економічні інтереси фірм і покупців; технологічний спосіб виробництва фірм має бути таким, щоб забезпечити максимальне задоволення потреб покупців. Якщо цілі й інтереси контрагентів ринку збігаються, то економіка функціонує як модель досконалої конкуренції. За цих умов виконується так звана теорема Ерроу — Дебре: у разі рівності попиту і пропозиції встановлення економічної рівноваги контрагентів можливе і необхідне. Виходячи з теорії Парето-оптималь-ності, був розроблений кількісний метод виміру ефективності розподілу ресурсів. Цей метод полягав у розрахунку коефіцієнта Дебре, який показує ступінь близькості цін, що реально склалися, до оптимального рівня. Ціна вважається оптимальною, якщо фірми досягають рівності технологічної й економічної ефективності свого виробництва. На основі аналізу коефіцієнта Дебре визначають ознаки не-ринкової економіки, які полягають саме у тому, що фактичні ціни ніколи не наближаються до рівноважних (тобто коефіцієнт Дебре завжди набагато менший одиниці). В ринковій економіці коефіцієнт Дебре дорівнює приблизно одиниці, що свідчить про досягнення взаємовигідних ринкових відносин. Отже, концепція Ерроу — Деб-ре робить значний внесок у розвиток мікроекономічної теорії, розглядаючи механізм поєднання економічних інтересів основних суб'єктів ринку.
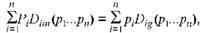
Однією з найзначніших концепцій неокласичної мікроекономічної теорії є теорія загального рівноважного аналізу, яку розробив Л. Вальрас (1834-1910) — швейцарський економіст, професор Лозаннського університету. Його основна праця — "Елементи чистої політекономії" (1874 р.). Основу теорії загальної економічної рівноваги, запропонованої вченим, становить теорія функціональної вартості, в якій ринкова ціна — це результат суб'єктивного порівняння витрат виробництва і корисності. Ринкові ціни встановлюються одночасно для всіх товарів і на всіх ринках, і в економіці встановлюється загальна економічна рівновага. Загальну економічну рівновагу можна описати за допомогою функціональних рівнянь, кінцевим з яких є таке:

де Рі — ціна і-тої продукції; Dіт — попит m-го покупця і-тої продукції; (р1….-pn) — ціни на продукцію; і — кількість найменувань продукції; Dіg — пропозиція g-го виробника і-тої продукції.
Ринковий механізм сам здійснює "намацування" (tatonnement) рівноважних цін. Л. Вальрас вважав, що рівняння рівноваги виконується тільки в умовах ідеальної конкуренції, коли не порушується жодна з вимог конкурентної поведінки суб'єктів. Загальна рівновага повинна встановлюватися автоматично за мінімального втручання держави, оскільки ринок — це "сила", спроможна саморегулюватися. Учений запропонував статичну рівноважну модель народного господарства — систему рівнянь загальної економічної рівноваги. Це перша економіко-математична модель, заснована на мікроекономічних показниках. Порушення умов статичної рівноваги економічної системи були досліджені в працях послідовників Л. Вальраса. Його функціональна теорія вартості стала основою неокласичної мікроекономічної теорії оптимальності, розробленої В. Парето і Е. Бароне.
Контрольні питання
1. Сформулюйте основні положення теорії технологічних множин К. Ерроу і Ж. Дебре.
2. Назвіть особливості раціональної поведінки покупця в теорії споживчого вибору В. Парето і Е. Бароне.
3. Розкрийте сутність теорії функціональної вартості Л. Вальраса.
4. Розгляньте теорію економічної оптимальності лозаннської школи в економічній теорії.
Created/Updated: 25.05.2018
|
Экономика